
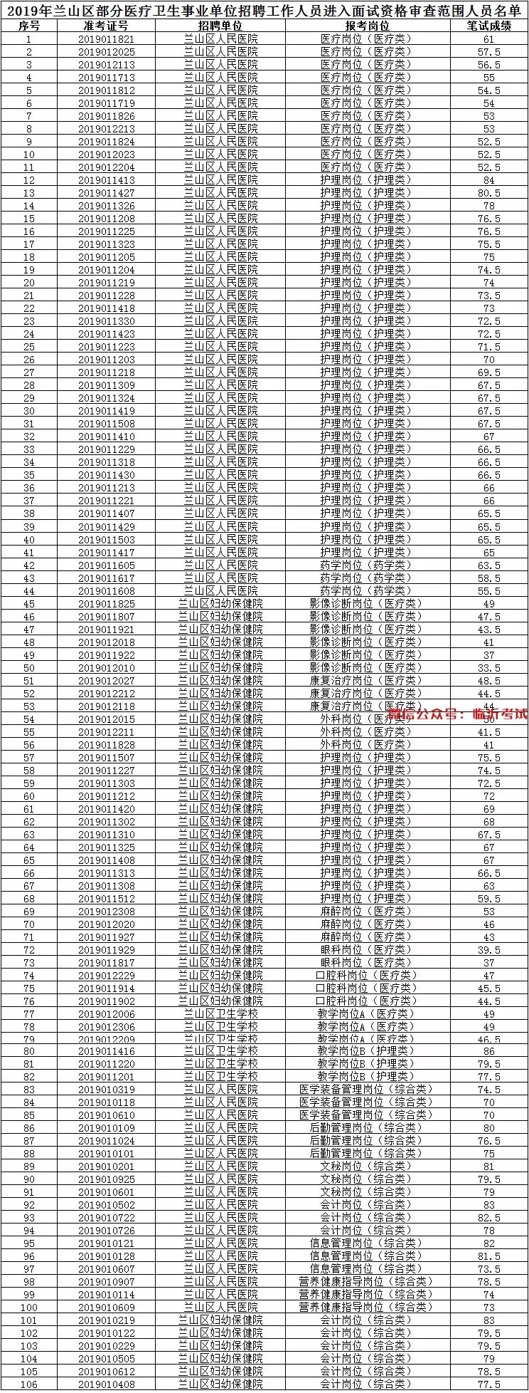
为切实做好2019年临沂兰山区部分医疗卫生事业单位公开招聘工作人员面试资格审查工作,根据《2019年兰山区部分医疗卫生事业单位公开招聘工作人员简章》和有关规定,现就有关问题公告如下:一、资格审查有关要求根据招聘简章的要求,笔试结束后,对进入面试资格审查范围的人员进行资格审查。本次资格审查采取现场审查的方式进行。进入面试资格审查范围的应聘人员,应在规定时间内到指定地点,进行资格审查。未在规定时间向资格审查部门提交有关材料的,视为弃权。经审查不具备应聘条件或提供材料主要信息不实的人员,取消其面试资格。因弃权或取消资格出现的岗位空缺,在笔试合格分数线以上(含),按笔试成绩和规定的比例依次递补。根据招聘简章的要求,进入面试人员不再缴纳面试考务费。

二、资格审查时间地点(一)审查时间现场面试资格审查时间:10月27日(9:00-12:00,14:00-17:00),28日(9:00-12:00)。参加现场面试资格审查,因材料不齐,需要补充材料的截止时间:10月28日17:00。人员递补时间:10月29日- 31日(9:00-12:00,14:00-17:00)。(二)审查地点面试资格审查地点:临沂宾馆贵宾楼六楼第七会议室(临沂市兰山区沂蒙路322号)联系电话:0539-8183234或16619922997。

三、应聘人员需提交的材料(一)均须提供的材料1、二代身份证(临时身份证或有效期内带照片的户籍证明)原件及复印件(正面、背面复印在一张A4纸上)。2、笔试准考证原件及复印件。3、《2019年兰山区事业单位公开招聘工作人员报名登记表》、《应聘人员诚信承诺书》。4、与网上报名同底版1寸免冠照片2张(背面须标注姓名)。5、《2019年临沂市兰山区事业单位公开招聘工作人员面试资格审查表》应聘人员未下载打印或丢失笔试准考证、报名登记表、诚信承诺书的,可于面试资格审查时间内登陆报名网站下载打印。(二)须提供审核的相关学历证明材料1、所有人员需根据岗位要求提交学历证书和学位证书。2、应聘岗位要求国家计划内招收的全日制普通高等院校毕业生的,须同时提交就业主管机构签发的报到证。3、海外留学归国人员应聘须经教育部认定具备同等学历、学位。

(三)除提供上述相应材料外,下列应聘人员还应根据情况提供如下材料1、在职人员应聘的,应提交有用人管理权限部门或单位出具的同意应聘介绍信。2、定向、委培毕业生应聘的,须提供定向、委培单位出具的同意应聘证明信。3、招聘岗位要求的其他证明材料,如学位证书、从业资格证书和本专业工作年限证明等。4、香港和澳门居民中的中国公民应聘的,还需提供《港澳居民来往内地通行证》;台湾学生应聘的,还需提供《台湾居民来往大陆通行证》。(四)其他应聘人员提供的材料中所涉及的证件均须提供原件和复印件各一份。上述材料除身份证、笔试准考证、毕业证、学位证、报到证、资格证等证件原件审查后交还应聘人员本人外,其他材料均需资格审查部门暂存。

四、其他注意的问题1、请进入面试资格审查范围的应聘人员提前准备好面试资格审查材料,按时到指定地点参加现场资格审查。未按照本公告参加现场资格审查的,视为弃权。2、《面试通知书》领取时间和地点,将于面试资格审查后在网上公布,请广大应聘人员注意浏览兰山区政府网站信息,保持所留联系电话24小时通讯畅通,因个人原因造成的后果责任自负。


往期精彩回顾

2019年临沂市恒源热力集团招聘108人公告2019年郯城县助理全科医生培训学员招生简章
国企丨山东高速集团招聘985人
2019年济宁公共交通集团招聘12人公告
2020年山东省港口集团招聘大学毕业生573人简章
关注“临沂考试”公众号,每天都有新消息
