戳左上角蓝字“哈尼考研”关注我们
点击右上角●●●菜单栏,选择“设置星标”公众号的同学都能一志愿上岸
每晚8:30,哈尼sir陪你考研

哈尼sir寄语
此政治精准笔记班,为我们团队年度最良心之作,万变不离其宗!不论出题人把题目改得多么天花乱坠,总有规律可循。答案就在那,亘古不动,挺立于知识风暴中,屹立不倒。政治答题不仅有技巧还能得高分。
重磅来袭!
政治“精准”笔记班与政治"精准"答疑班上市!!!
更多惊喜见哈尼考研链接:
【转发此文章到朋友圈,截图当天过后,扫描二维码直接与底部客服留言,赠送政治内部思维导图或徐涛强化班ppt】

(注:为更好服务大家,同学们可以直接扫一扫二维码进行下单,或点底部右下角阅读原文,之后联系qq客服直接进对应的qq群)
(1)政治分析大题模板,只需要结合材料即可。
(2)最终密押。
(3)必背知识点(含全面技巧,比考点提分更快)
(4)每日一题。
(5)赠送:市面上找不到的价值十几万内容。
(6)更多具体内容进群一眼便知,关注我们哈尼考研公众号的同学都能一志愿上岸。
【详情更多内容,查看蓝色链接,答疑班会有老师亲自负责答疑,政治交给我们,节省2个月时间,抓紧复习其他科目。】

关注上方蓝字关注我们
距离2020考研还有
0
5
8
天
34所自划线院校是什么?C9是什么?直到现在还有好些小伙伴搞不清楚。其实这些都代表着这些大学层次的划分,要择校的你搞清楚还是很有必要的,花三分钟来看看吧~
一、34所自划线院校
"34所"即在招收硕士研究生的过程中可以自主划定复试分数线的高校,一共有34所高校。学校根据报考自己学校考生的情况和计划招生的人数来确定分数线,学校确定后上报教育部备案就可以了。
1.复试时间早,便于调剂
一般而言,"34所"由于分数线公布得早,其复试要比其他院校要早。对于考生来说,这个时间差是很重要的,尤其是那些需要调剂的同学。比如A报考"34所"之一的北京大学,在3月10日知道自己未能达到北大的自划分数线后,就可着手进行调剂,而不是如非"34所"高校的学生要在3月25日前后,知道自己是否能过国家线,方能着手进行调剂。
2.利用"反差类"院校和专业
"34所"自主划线的学校的分数线基本上都会高于国家线,报考难度会大一些。但是也不排除有个别学校个别专业会低于国家线。尤其理工科院校的人文社科类专业,文科类大学的理工科专业,即使是其优势专业,也会有这样的情况发生。如,北京师范大学近几年的文学复试分数线都是50分,要远低于国家线的55分或54分。2013年北京大学文学的复试分数线总分是340,而文学国家线的总分是350。
3.中西部地区,报考难度相对低
从地域上看,34所985自划线高校里面北京、上海、东部沿海地区高校要比中西部地区高校相对难考一些。比如,同样的专业,西部的兰州大学、西北农林科大、重庆大学甚至四川大学要比东部地区的同济、东南相对好考一些。但是这个"好考"也是相对的,要看具体的专业。
以下是34所自划线学校的名单:
北京大学、清华大学、上海交通大学、大连理工大学、中国科学技术大学、山东大学、复旦大学、中国人民大学、北京航空航天大学、北京理工大学、天津大学、南开大学、中国农业大学、北京师范大学、哈尔滨工业大学、吉林大学、同济大学、南京大学、华中科技大学、西安交通大学、东北大学、东南大学、浙江大学、华南理工大学、西北工业大学、厦门大学、湖南大学、武汉大学、兰州大学、电子科技大学、中山大学、中南大学、重庆大学、四川大学
二、"985"院校
相信各位帮帮的小伙伴已经对985这个概念很熟悉了,985工程是我国为面向21世纪振兴教育、建设世界一流大学而实施的一项计划。目前"211"工程和"985"工程的规模已经稳定,不再新设这两个工程的学校。
1.可以考虑5所非自划线的院校
"985"高校有39所,其中34所是上文中的"34所"自划线高校,这就意味着"985工程"高校中有5所并非自主划线的高校,而是按照国家线来划定其复试分数线。
这也是考生需要引起注意的,自划线一般都要远高于国家线,报考人数也很多,所以"34所"的竞争更大一些。既需要报考"985工程"高校又希望竞争没有那么大,可以把目标瞄向这5所高校。
2.这5所学校是:
中国海洋大学、西北农林科技大学、中央民族大学、国防科学技术大学、华东师范大学
三、C9
最初只有北京大学和清华大学确认为要建设世界一流大学,并获得教育部18亿元的拨款,之后南京大学、复旦大学、浙江大学、哈尔滨工业大学、上海交通大学、中国科技大学、西安交通大学申请进入"985工程",使得第一批的"985工程"高校形成了2+7格局。
C9在一定程度上代表着中国高等教育最顶尖实力。
四、"211"院校
"211"的含义是"21世纪的100所重点大学,将全国各地挑选出的约100个高等学校设立为重点高校,这些学校在资金中获得优先对待。2011年,"211工程"的规模已经稳定,共有学校112所,不再新增学校。
国内的不少顶级大学在招聘教师的时候,虽然大多未明文规定招聘对象的出身,但是不少高校在实际操作中要求本硕博的学校中需要至少一个"211"两个"985"。所以,以后有志在高校从事教学工作的同学,要考虑在211/985院校读硕博研究生。
"985"高校全部都是"211"高校,211不一全是985院校。
五、985工程优势学科创新平台
在"985"高校和"211"高校中间还有一些学校是"985工程优势学科创新平台"高校,这些高校的层次在"985"高校和一般的"211"高校之间。
"985工程优势学科创新平台"项目高校从属于"211工程"建设的学校但不属于"985"工程建设的国家中央部委直属学校中选择。
1.特色专业有优势
"985工程优势学科创新平台"建设项目主要是在行业特色型大学的全国顶尖的优势学科重点建设一批优势学科创新平台,以解决国家和行业发展急需的重点领域和重大需求,从而大力提高建设学科的科技创新能力和解决经济社会发展的重大问题的能力,打造一批世界一流学科群。
2."985工程优势学科创新平台"高校名单(24所)
北京科技大学、北京交通大学、北京邮电大学、北京化工大学、中央财经大学、对外经济贸易大学、中国政法大学、华北电力大学、中国矿业大学(北京)、中国矿业大学(徐州)、中国石油大学(北京)、中国石油大学(华东)、中国地质大学(北京)、中国地质大学(武汉)、东北师范大学、上海财经大学、华东理工大学、河海大学、江南大学、合肥工业大学、武汉理工大学、华中师范大学、西南交通大学、陕西师范大学
六、中央部委直属高校
只有国家中央部委直属的"211工程"高校才有资格获得"985工程优势学科创新平台"。在这里有必要厘清"中央部委直属高校"的概念,其实在"985""211"流行之前,这个概念引用率很高。
中央部属高校是中华人民共和国中央部门(单位)直属高等学校的简称,是指国务院组成部门及其直属机构在全国范围内直属管理一批高等院校,其中教育部直属的最多,有75所。
其他部委直属的都比较少,最多的是工业和信息化部直属高等学校7所,分别是北京航空航天大学、北京理工大学、哈尔滨工业大学、哈尔滨工程大学、南京航空航天大学、南京理工大学、西北工业大学;
最少的仅有1所,如外交部直属的外交学院、共青团中央委员会直属的中国青年政治学院、国家体育总局直属的北京体育大学等。
中央部委所属高校并非全部具有硕士招生资格,其中有一些高校是仅具有本科招生层次和专科招生层次的高校。
奖助学金有不同
对于学生最直接的影响可能就是硕士的补助即国家奖学金了,目前中央部委所属高校的博士研究生普通奖学金为每月1000元,各校对博士研究生发放普通奖学金时,原则上可按上述标准向下浮动200元;硕士研究生奖学金标准为每月500元,原则上可按上述标准向下浮动100元。
七、副部级大学
这个只是从高校校长的行政级别来进行划分。有31所高校行政级别都为副部级(一般本科以上高校都是厅局级,专科高校是副厅局级),加上副大军区级的国防科学技术大学共计32所。
这对于学生没有什么直接的影响,不过从行政级别可以看出学校的行政地位和国家的重视程度。这32所高校也都是国家"985工程"重点建设的大学(除东北大学、华南理工大学、湖南大学、电子科技大学、中国海洋大学、中央民族大学和华东师范大学外)。
八、本一、本二、本三
其实这个划分是按高考录取批次来定的,在分析考研报考高校时一般不用这个概念,只是考生处于惯性,一定程度上还会这么分析。它对考研选择院校没有太大参考价值,而且不同的省份其对本一、本二高校的划分有所不同。
因为某个大学招生时所在的本科录取批次是由各省级高校招生委员会根据本地招生工作的实际,以及高等学校的办学质量、办学条件、办学历史、生源情况和国家重点保障的学科等情况,经与有关高等学校协商后划分的。
九、全国重点大学
"全国重点大学"是指中华人民共和国境内被国家重点支持的大学。1959年,《中共中央关于在高等学校中指定一批重点学校的决定》将北京大学、清华大学等20所高校确定为全国重点大学;1978年,国务院《关于恢复和办好全国重点高等学校的报告》最终确定北京大学、清华大学等88所大学为全国重点大学。
在大学本科按照普通高等学校本一、本二、本三批次录取之前,大学招生分为重点大学和非重点大学。现在大家所说的重点大学一般指包括"985工程"大学在内的"211工程"大学和一些省属重点大学。
读完此文,相信你已经看懂了学校的层次划分。在看懂之后,是否对考研目标院校的层次有了更深的了解了呢?在有了更明确地定位之后,希望大家好好复习,能够取得成功!

每 日 英 语
【day 11】2020考研作文句~有始有终
【初衷】于杉老师开设此免费打卡班,专门针对于考研/四六级,对写作犯愁,不会写,或者复习了却总是忘的童鞋准备的,希望各位好好记诵,考试必过过!!!
首先给各位框架,每日作文句直接放在框架某处即可,具体什么位置,于杉老师会告诉大家的!
框架篇(小作文)
第一段:自我介绍
写作目的(改写Direction)
第二段:陈述信息/建议/理由等
第三段:抒发感情
客套话
【注意】小作文格式最重要,一定要记住哟!
信件
Dear XXX,
第一段:...............................
第二段:...............................
第三段:...............................
Yours sincerely,
Li Ming
通知
Notice(居中)
第一段:...............................
第二段:...............................
第三段:...............................
机构/个人名字
具体日期
框架篇(大作文)
第一段:描述图画/图表
翻译标题
第二段:引出主题
陈述原因
第三段:提建议
展望未来
看这里
Tips:(于杉高分四原则)
1. 字迹工整最重要
2. 一定不要跑题,一定要审好题!
3. 语言只求看得懂,全文两至三个从句即可
4.三段式是必须的(每段首字母缩进四个字母的空格哟)
每天一个黄金作文打卡句!
接着再看当天视频和文字解析版。

下面是视频词汇讲解:
作文黄金句出自真题长难句,最好抄写下来哟~~
不止有视频词汇讲解,还有句子改写哦|戳标题链接看更多
每 日 数 学
数学每日一练第247题

答案公布
高等数学第 247题

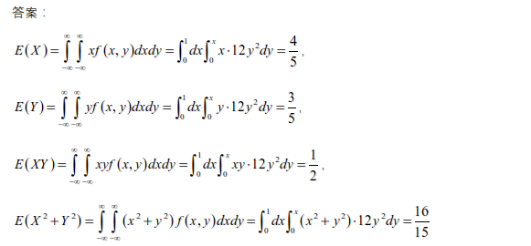
概率论第116题

新题发布
高等数学第 248题

概率论第 117题

答案哈尼会在下期公布!
每 日 政 治
2019.10.23 |考研政治核心知识点——“科学发展观”

今天的考研政治必背考点就到这里啦,请及时保存!
我们贴心地在每条知识点后标注了此考点在历年真题试卷中出现的次数,方便考生们更精准地把握考频,抓重点,抓难点。每天花十分钟记忆考点,积少成多,考试75+妥妥的~

END

好东西一定要点“在看”