
一、注意事项
1、评卷方式为网上评卷,考生答题只允许使用2B铅笔和0.5mm的黑色字迹签字笔书写。2、考生基本信息如:姓名、准考证号的填写必须使用黑色字迹签字笔书写。答题纸下发后,先检查条形码区域内姓名是否无误,确定无误后先写好姓名、准考证号和座号。3、注意答题区域,超出答题区域,答案无效。4、不在规定题目序号的答题区域内答题,答案无效。更多答题纸答题规范说明及样式
请点击下方蓝色字体详细查看

点我看答题纸样式
二、应试技巧
一、选择题(每题5分,17题,共85分)
1、一般来说前面几道题非常容易,可以把4个选项往题目里面套,看哪个答案符合,就是正确答案。
2、据统计:17题选择题,ABCD任意一个选项成为正确答案的次数为3-5次。那么同学们:
(1)一题都不会写,也一定要全部的答满,不能全部写一样的答案这样会一分都没有
(2)只会写1-2题,剩下的15题都写跟自己懂写题的答案不一样的选项,这样至少可以得20分。例如,会写的题一题选A,一题选B,那么不懂写的15题都写C或者D。
(3)懂写3题以上,看看自己懂写的答案中ABCD哪个选项出现的次数少,那么不懂写的题目都写那个选项,这样至少可以得30分以上。例如:懂写6题,答案分别是AAABBC,那不懂写的就都写D。因为A成为正确答案的次数一般不超过5题,现在已经写出三题选A了,从概率的角度来说A最多会再出现两次,而D则会出现3-5次。

二、填空题(每题4分,4题,共16分)
一般出现其中有一题答案是0,1,2的可能性很大,实在每题都不会写,就4题都写0或1或2,但写1的概率相对0、2会高一点。如果你时间充足的话,可以把0,1,2套进答案可能是整数的题目里面试试,这样运气好就能做对一两题。
三、解答题(49分)
完全不懂也不要放弃解答题的分数,解答题的特点是一层一层往下求解,最终求出一个答案。解答题的答题步骤。如:
①解:依题意可得~~~(题目中已知的数据写上去)
②公式~~~~~~~
③计算得~~~
④答:~~~~
有些题目,我们可以把题目中给出的公式,变化一下,能顺着下来多少就是多少,把所想的步骤写上去,反正都思考了,不写白不写,写了就有可能得分。
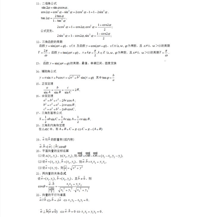
三、历年常用数学公式汇总
可着重记下以下公式在考试解答题中使用,写上就有分!

记住
数学写上正确公式
就有分哦